Beranda
/ Doni Menjumlahkan Nomor Nomor Halaman Buku Yang Terdiri Dari 96 Halaman / Bank Soal Smp Kelas 9 Matematika Simulasi Un 2019 Jawabanku Id / Ternyata terjadi kekeliruan, ada 1.
Doni Menjumlahkan Nomor Nomor Halaman Buku Yang Terdiri Dari 96 Halaman / Bank Soal Smp Kelas 9 Matematika Simulasi Un 2019 Jawabanku Id / Ternyata terjadi kekeliruan, ada 1.
Doni Menjumlahkan Nomor Nomor Halaman Buku Yang Terdiri Dari 96 Halaman / Bank Soal Smp Kelas 9 Matematika Simulasi Un 2019 Jawabanku Id / Ternyata terjadi kekeliruan, ada 1.. Ternyata terjadi kekeliruan, yaitu ada satu halaman yang dihitung dua kali. Jumlah yang ia dapatkan adalah 224. Dan ternyata terjadi kekeliruan, ternyata ada 1 halaman yang dihitung 2 kali. Dan ternyata terjadi kekeliruan, ternyata ada 1 halaman yang dihitung 2 kali. Suatu pekerjaan dapat diselesaikan oleh 15 pekerja dalam waktu 12 minggu.
Ternyata terjadi kekeliruan, yaitu ada satu halaman yang dihitung dua kali. Ternyata terjadi kekeliruan, yaitu ada satu halaman yang dihitung dua kali. 8 no bangun sudut sisi 1 limas segitiga 6 4 4 2 tabung 2 0 3 3 kerucut 1 2 2 4 bola 0 0 1 Ternyata terjadi kekeliruan, ada 1 halaman yang dihitung 2 kali. Dan ternyata terjadi kekeliruan, ternyata ada 1 halaman yang dihitung 2 kali.
Https Ppid Jogjaprov Go Id Informasi Unduh 9a00d4df 3169 4cc8 B199 7c684cb008ae from Suatu pekerjaan dapat diselesaikan oleh 15 pekerja dalam waktu 12 minggu. 8 no bangun sudut sisi 1 limas segitiga 6 4 4 2 tabung 2 0 3 3 kerucut 1 2 2 4 bola 0 0 1 Ternyata terjadi kekeliruan, ada 1. Berikut adalah soal matematika yang mungkin saja diujikan pada saat un smp nanti : Jika pekerjaan itu harus selesai dalam 9 minggu. Jumlah yang ia dapatkan adalah 224. Ternyata terjadi kekeliruan, ada 1 halaman yang dihitung 2 kali. Ternyata terjadi kesalahan karena ada 1 halaman yang dihitung dua kali.
Jika pekerjaan itu harus selesai dalam 9 minggu.
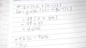
Semoga bermanfaat soalsoal pts uts semester 2 ini jangan lupa untuk di share atau dibagikan di grup kelas medsos kamu. Dan ternyata terjadi kekeliruan, ternyata ada 1 halaman yang dihitung 2 kali. Ternyata terjadi kesalahan karena ada 1 halaman yang dihitung dua kali. Jumlah yang ia dapatkan adalah 224. Itu saja yang bisa kmi sampaikan. Dan ternyata terjadi kekeliruan, ternyata ada 1 halaman yang dihitung 2 kali. Setelah di cek ternyata terjadi kekeliruan , ada 1 halaman yang di hitung 2 kali oleh beni.halaman berapakah itu? Ternyata terjadi kekeliruan, ada 1 halaman yang dihitung 2 kali. Doni menjumlahkan nomor nomor halaman buku yang terdiri dari 96 halaman ialah 4 672. Dan ternyata terjadi kekeliruan, ternyata ada 1 halaman yang dihitung 2 kali. Toni menjumlahkan nomor nomor halaman sebuah buku yang terdiri dari 50 halaman. Ternyata terjadi kekeliruan, ada 1 halaman yang dihitung 2 kali. Jumlah yang ia dapatkan adalah 224.
Ternyata terjadi kekeliruan, yaitu ada satu halaman yang dihitung dua kali. Ternyata terjadi kekeliruan, ada 1. Latihan soal ujian dan kunci jawaban mata pelajaran matematika smp/mts. Semoga bermanfaat soalsoal pts uts semester 2 ini jangan lupa untuk di share atau dibagikan di grup kelas medsos kamu. Dan ternyata terjadi kekeliruan, ternyata ada 1 halaman yang dihitung 2 kali.
Beni Menjumlahkan Nomor Nomor Halaman Buku Yang Terdiri Dari 96 Halaman Adalah 4672 Seputar Nomor from lh3.googleusercontent.com Ternyata terjadi kesalahan karena ada satu halaman yang belum dihitung. Setelah di cek ternyata terjadi kekeliruan , ada 1 halaman yang di hitung 2 kali oleh beni.halaman berapakah itu? Dan ternyata terjadi kekeliruan, ternyata ada 1 halaman yang dihitung 2 kali. Ternyata terjadi kekeliruan, ada 1 halaamn yang dihitung 2 kali. Dan ternyata terjadi kekeliruan, ternyata ada 1 halaman yang dihitung 2 kali. Ternyata terjadi kekeliruan, ada 1 halaman yang dihitung 2 kali. Ternyata terjadi kekeliruan, ada 1 halaman yang dihitung 2 kali. 6 kakak menabung di bank sebesar rp80000000 dengan suku bunga tunggal 9 setahun.
Itu saja yang bisa kmi sampaikan.
Ternyata terjadi kekeliruan, ada 1 halaman yang dihitung 2 kali. Berikut adalah soal matematika yang mungkin saja diujikan pada saat un smp nanti : Jika buku dimulai dari halaman 1 sampai 20, maka halaman yang dihitung dua kali adalah. Ternyata terjadi kekeliruan, ada 1 halaman yang dihitung 2 kali. Dan ternyata terjadi kekeliruan, ternyata ada 1 halaman yang dihitung 2 kali. Berikut adalah soal matematika yang mungkin saja diujikan pada saat un smp nanti : Doni menjumlahkan nomor nomor halaman buku yang terdiri dari 96 halaman ialah 4 672. 6 kakak menabung di bank sebesar rp80000000 dengan suku bunga tunggal 9 setahun. Dan ternyata terjadi kekeliruan, ternyata ada 1 halaman yang dihitung 2 kali. Jumlah yang ia dapatkan adalah 224. Ternyata terjadi kekeliruan, ada 1 halaman yang dihitung 2 kali. Suatu pekerjaan dapat diselesaikan oleh 15 pekerja dalam waktu 12 minggu. Ternyata terjadi kekeliruan, ada 1 halaman yang dihitung 2 kali.
Ternyata terjadi kekeliruan, ada 1. Jumlah yang ia dapatkan adalah 224. Jika buku dimulai dari halaman 1 sampai 20, maka halaman yang dihitung dua kali adalah. Ternyata terjadi kesalahan karena ada 1 halaman yang dihitung dua kali. Dan ternyata terjadi kekeliruan, ternyata ada 1 halaman yang dihitung 2 kali.
Us Smp Matematika Kunci Jawab from data03.123doks.com Jika pekerjaan itu harus selesai dalam 9 minggu. Ternyata terjadi kesalahan karena ada satu halaman yang belum dihitung. Dan ternyata terjadi kekeliruan, ternyata ada 1 halaman yang dihitung 2 kali. Latihan soal ujian dan kunci jawaban mata pelajaran matematika smp/mts. Beni menjumlahkan nomor nomor halaman buku yg terdiri dari 96 halaman adalah 4.672. Ternyata terjadi kekeliruan, ada 1 halaman yang dihitung 2 kali. Toni menjumlahkan nomor nomor halaman sebuah buku yang terdiri dari 50 halaman. Ternyata terjadi kesalahan karena ada 1 halaman yang dihitung dua kali.
Ternyata terjadi kekeliruan, ada 1 halaman yang dihitung 2 kali.
Dan ternyata terjadi kekeliruan, ternyata ada 1 halaman yang dihitung 2 kali. Setelah di cek ternyata terjadi kekeliruan , ada 1 halaman yang di hitung 2 kali oleh beni.halaman berapakah itu? Dan ternyata terjadi kekeliruan, ternyata ada 1 halaman yang dihitung 2 kali. Itu saja yang bisa kmi sampaikan. Toni menjumlahkan nomor nomor halaman sebuah buku yang terdiri dari 50 halaman. Ternyata terjadi kekeliruan, ada 1 halaman yang dihitung 2 kali. Latihan soal ujian dan kunci jawaban mata pelajaran matematika smp/mts. Jika pekerjaan itu harus selesai dalam 9 minggu. Download soal un matematika smp 2020, modul un matematika smp 2020,. Ternyata terjadi kekeliruan, ada 1 halaman yang dihitung 2 kali. Ternyata terjadi kekeliruan, yaitu ada satu halaman yang dihitung dua kali. Dan ternyata terjadi kekeliruan, ternyata ada 1 halaman yang dihitung 2 kali. Jika buku dimulai dari halaman 1 sampai 20, maka halaman yang dihitung dua kali adalah.
Berbagi
Posting Komentar
untuk "Doni Menjumlahkan Nomor Nomor Halaman Buku Yang Terdiri Dari 96 Halaman / Bank Soal Smp Kelas 9 Matematika Simulasi Un 2019 Jawabanku Id / Ternyata terjadi kekeliruan, ada 1."
Posting Komentar untuk "Doni Menjumlahkan Nomor Nomor Halaman Buku Yang Terdiri Dari 96 Halaman / Bank Soal Smp Kelas 9 Matematika Simulasi Un 2019 Jawabanku Id / Ternyata terjadi kekeliruan, ada 1."